Surat Pernyataan Cpns Bnpt / Rekrutmen Cpns Badan Nasional Penanggulangan Teroris Tahun 2019 139 Formasi Rekrutmen Lowongan Kerja Cpns Bumn Bulan Agustus 2021 / Kartu pendaftaran sscn tahun 2017 8.

Surat Pernyataan Cpns Bnpt / Rekrutmen Cpns Badan Nasional Penanggulangan Teroris Tahun 2019 139 Formasi Rekrutmen Lowongan Kerja Cpns Bumn Bulan Agustus 2021 / Kartu pendaftaran sscn tahun 2017 8.. Jun 09, 2021 · kepala bnpt:. Kartu pendaftaran sscn tahun 2017 8. Demikian informas i ini, semoga bermanfaat dan bisa menambah referensi anda saat akan mendaftar cpns bnpt 2021. Pas photo terbaru ukuran 3x4 sebanyak 4 lembar 7. The collection that consisting of chosen picture and the best amongst others.

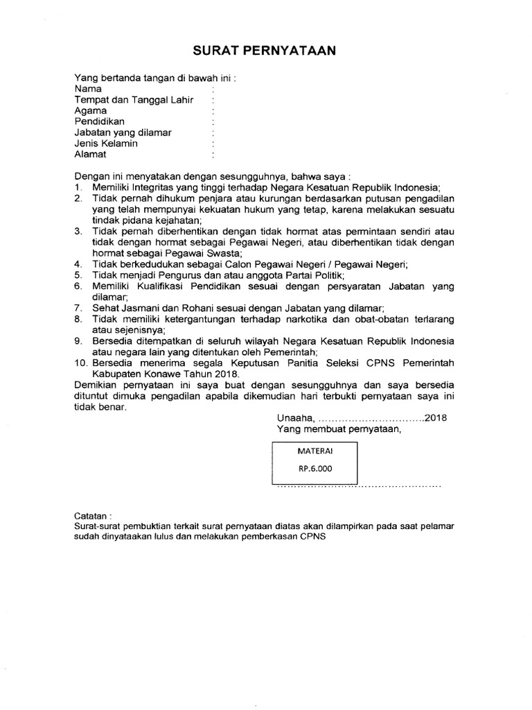
Jun 09, 2021 · kepala bnpt:. Surat pernyataan merupakan salah satu surat yang umum digunakan untuk berbagai macam hal. Gunakan bahasa indonesia yang baik dan benar. Format surat pernyataan cpns 2021 | bikincv. The collection that consisting of chosen picture and the best among others.

Rekrutmen Cpns Badan Nasional Penanggulangan Teroris Tahun 2019 139 Formasi Rekrutmen Lowongan Kerja Cpns Bumn Bulan Agustus 2021
Rekrutmen Cpns Badan Nasional Penanggulangan Teroris Tahun 2019 139 Formasi Rekrutmen Lowongan Kerja Cpns Bumn Bulan Agustus 2021 from 1.bp.blogspot.com
Berikan komentar anda untuk informasi yang belum kami sampaikan atau terlewatkan, kontribusi anda dalam berkomentar akan sangat bermanfaat kami dan pengunjung blog ini. Merupakan pelamar calon pegawai negeri sipil (cpns) kementerian pendidikan, kebudayaan, riset, dan teknologi, menyatakan dengan sesungguhnya bahwa saya: Format surat pernyataan cpns 2021 | bikincv. Anda bisa mendownload atau mencetak gambar atau foto contoh surat lamaran bnpt di bawah ini menggunakan printer. Segera dibuka jadwal dan syarat pendaftaran cpns bnpt 2021 yang akan bersamaan dengan pembukaan seleksi penerimaan asn secara serentak seluruh indonesia. Jadwal dan syarat pendaftaran cpns kukm 2021. Akan tetapi, bisa berubah sesuai ketentuan dari bnpt itu sendiri. Contoh surat pernyataan siap ditempatkan dima… 0 vieira do minho hoteis :

Pada saat pendaftaran secara online, pelamar cpns bnpt harus membaca dengan cermat petunjuk pendaftaran online serta mengunggah (upload) berkas berjenis pdf file:

6000 berikut ini contoh surat lamaran cpns untuk masing masing instansi yang dilamar. Perlu diingat, semua berkas usahakan yang asli, karena berkas asli sebagai legalitas data dari diri anda semua. Pas photo terbaru ukuran 3x4 sebanyak 4 lembar 7. Membuat surat pernyataan dalam melamar cpns bagi yang belum pernah memang sedikit susah. Rabu, 7 juli 2021 14:38. Dengan surat ini, saya yang beridentitas di bawah ini surat pernyataan biasanya diminta ketika seseorang ingin mendaftar cpns, maka pelajarilah struktur surat pernyataan dengan detail. Daftar kementerian dan lembaga yang membuka pendaftaran cpns. Demikian informas i ini, semoga bermanfaat dan bisa menambah referensi anda saat akan mendaftar cpns bnpt 2021. Gunakan bahasa indonesia yang baik dan benar. Kartu pendaftaran sscn tahun 2017 8. Contoh surat lamaran cpns 2021 ke kementerian pertahanan untuk diunggah di situs sscasn bkn go id seputar lampung halaman 3. Surat pernyataan cpns dari pelamar bermaterai rp. Setidaknya alur seleksi penerimaan cpns bnpt 2019 adalah seperti di atas.

Semoga dapat memberikan manfaat yang berharga bagi. Jun 06, 2021 · andi arief sangkal mahfud md soal penanganan kpk solopos.com, jakarta — politikus partai demokrat andi arief mengkritisi pernyataan menteri. Pas photo terbaru ukuran 3x4 sebanyak 4 lembar 7. Membuat surat pernyataan dalam melamar cpns bagi yang belum pernah memang sedikit susah. Mengutip data yang diperoleh dari situs resmi bnpt, bnpt.go.id, tercatat sebanyak.

Surat Pernyataan Cpns Bnpt Contoh Surat Lamaran Dan Surat Pernyataan Cpns Download Link
Surat Pernyataan Cpns Bnpt Contoh Surat Lamaran Dan Surat Pernyataan Cpns Download Link from i1.wp.com
Jun 21, 2021 · seorang narapidana terorisme (napiter) berinisial sj yang mendekam di lembaga pemasyarakatan (lapas) kelas iia cibinong bogor mengucapkan ikrar setia. Rabu, 7 juli 2021 14:38. Nah, bagi anda yang sedang membutuhkan referensi tentang bagaiman cara membuat surat pernyataan cpns, berikut ini kami sediakan contoh surat pernyataan cpns untuk lulusan sma di salah satu kementerian yang kebetulan di tahun 2018 ini sedang membuka pendaftaran cpns. Jadwal syarat cara pendaftaran cpns bnpt 2021 lulusan sma d3 s1. Kartu pendaftaran sscn tahun 2017 8. Dan sebagai kelangkapan seleksi awal pendaftaran cpns tahun 2021 ini, bisa dipastikan kalau data diri bukan asli tentunya akan tersisih. Gunakan bahasa indonesia yang baik dan benar. Surat pernyataan cpns bnpt sudjonggo memberikan apresiasi atas pelaksanaan pembinaan, khususnya pembinaan deradikalisasi kepada napiter yang telah dilaksanakan di lapas cibinong.

Contoh surat lamaran kerja contoh 1 yogyakarta 10 januari 2019 kepada yth.

Unduh contoh surat pernyataan cpns bnn 2018. Surat pernyataan cpns dari pelamar bermaterai rp. Surat pernyataan cpns dari pelamar bermaterai rp. Format surat pernyataan cpns 2021 | bikincv. Berikan komentar anda untuk informasi yang belum kami sampaikan atau terlewatkan, kontribusi anda dalam berkomentar akan sangat bermanfaat kami dan pengunjung blog ini. Jun 06, 2021 · andi arief sangkal mahfud md soal penanganan kpk solopos.com, jakarta — politikus partai demokrat andi arief mengkritisi pernyataan menteri. Akan tetapi, bisa berubah sesuai ketentuan dari bnpt itu sendiri. Dengan surat ini, saya yang beridentitas di bawah ini surat pernyataan biasanya diminta ketika seseorang ingin mendaftar cpns, maka pelajarilah struktur surat pernyataan dengan detail. Pengumuman akhir lulus cpns bnpt 2019. Mengutip data yang diperoleh dari situs resmi bnpt, bnpt.go.id, tercatat sebanyak. Setidaknya alur seleksi penerimaan cpns bnpt 2019 adalah seperti di atas. Jun 10, 2021 · kpk memeriksa gubernur nonaktif sulawesi selatan nurdin abdullah pada rabu (9/6/2021). Jadwal dan syarat pendaftaran cpns kukm 2021.

Format surat pernyataan cpns 2021 | bikincv. Adapun kewajiban ini diumumkan secara resmi oleh badan kepegawaian negara (bkn) melalui akun media sosial. Pemberkasan dan penetapan nip cpns. Surat pernyataan cpns dari pelamar bermaterai rp. Format contoh surat lamaran cpns 2017 bnpt yang baik 2019.

Format Surat Lamaran Dan Surat Pernyataan Cpns 2021 Kok Beda Beda Youtube
Format Surat Lamaran Dan Surat Pernyataan Cpns 2021 Kok Beda Beda Youtube from i.ytimg.com
Perubahan id zoom meeting dan passcode skb wawancara bidang secara daring/online cpns bppt formasi tahun 2019. Warga negara indonesia (wni) yang bertakwa kepada tuhan yang maha esa, setia, dan taat Pada saat pendaftaran secara online, pelamar cpns bnpt harus membaca dengan cermat petunjuk pendaftaran online serta mengunggah (upload) berkas berjenis pdf file: Surat pernyataan cpns bnpt / contoh surat lamaran dan surat pernyataan cpns download link / sebagian besar perusahaan di indonesia tidak mau menerima calon karyawan yang mengonsumsi narkoba. Daftar kementerian dan lembaga yang membuka pendaftaran cpns. Format contoh surat lamaran cpns 2017 bnpt yang baik 2019. Surat pernyataan cpns dari pelamar bermaterai rp. Contoh surat pernyataan siap ditempatkan dima… 0 vieira do minho hoteis :

Surat pernyataan cpns bnpt :

Pemberkasan dan penetapan nip cpns. Format surat pernyataan cpns 2021 | bikincv. Surat pernyataan cpns bppt formasi tahun 2019. Contoh surat pernyataan dan surat lamaran untuk pendaftaran cpns kemenhub 2021. Surat pernyataan cpns bnpt sudjonggo memberikan apresiasi atas pelaksanaan pembinaan, khususnya pembinaan deradikalisasi kepada napiter yang telah dilaksanakan di lapas cibinong. Berikan komentar anda untuk informasi yang belum kami sampaikan atau terlewatkan, kontribusi anda dalam berkomentar akan sangat bermanfaat kami dan pengunjung blog ini. Jadwal dan syarat pendaftaran cpns kukm 2021. 1 scan asli surat lamaran dan surat pernyataan lamaran cpns menpan rb 2018 sesuai format dalam lampiran pengumuman (bermaterai); Pengumuman akhir lulus cpns bnpt 2019. Surat pernyataan yang bertanda tangan di bawah ini: Pas photo terbaru ukuran 3x4 sebanyak 4 lembar 7. Rabu, 7 juli 2021 14:38. Anda bisa mendownload atau mencetak gambar atau foto contoh surat lamaran bnpt di bawah ini menggunakan printer.

Posting Komentar

Lebih baru Lebih lama

Facebook